什么是顏色空間?顏色空間也稱色彩模型,它是用來表示顏色的三個參數所構成的三維空間,是顏色抽象表示和描述的方法,是在某些標準下用通常可接受的方式來簡化顏色規范。那么,色差儀常用顏色空間是哪個?色差儀Lab值怎么分析?本文為大家做了介紹。

色差儀常用顏色空間是哪個?
色差儀作為光電儀器,其測量原理采用最廣泛使用于測量物體色調的國際照明委員會(CIE)的CIE1976L*a*b*色度系統,借助均勻色的立體表示方法將所有的顏色用L*,a*,b*三個軸的坐標來定義。L*為垂直軸也即中軸,代表明度上白下黑,其值從底部0(黑)到頂部100(白)。中間為亮度不同的灰色過度,有100個等級;a*、b*坐標組成的色度平面是一個圓,表示不同的色彩方向,a*代表紅綠軸上顏色的飽和度,其中-a*為綠,+a*為紅;b*代表藍黃軸上顏色的飽和度,其中-b*為藍,+b*為黃。a*,b*都是水平軸。L*,a*,b*不僅可以精確地表示各種色調,它也為兩種色調之間的差即色差表示帶來了方便,尤其是在研究或測定近似顏色的差別程度時(比如同一原材料不同批次的比較),勻色空間L*a*b*表色系上任意兩點間的距離都可以表示兩個顏色之間的總色差。
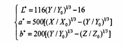
CIE1976Lab空間由CIEXYZ系統通過數學方法轉換得到,轉換公式為:

其中X、Y、Z是被測物體的三刺激值;X0、Y0、Z0為選定參考白的三刺激值;L*表示心理明度;a*、b*為心理色度。
從上式轉換中可以看出:由X、Y、Z變換為L*、a*、b*時包含有立方根的函數變換,經過這種非線形變換后,原來的馬蹄形光譜軌跡不復保持。轉換后的空間用笛卡兒直角坐標體系來表示,形成了對立色坐標表述的心理顏色空間,如下圖所示。在這一坐標系統中,+a*表示紅色,-a*表示綠色,+b*表示黃色,-b*表示藍色,顏色的明度由L*的百分數來表示。

通常人們把兩種顏色在色彩上給人感覺上的差別叫做色差。若兩個色樣樣品都按L*、a*、b*標定顏色,則兩者之間的總色差ΔE*Lab以及各項單項色差可用下列公式計算:
明度差:ΔL*=L*1-L*2;
色度差:Δa=a*1-a*2,Δb=b*1-b*2;
總色差:ΔE*Lab=[(ΔL)2+(△a)2+(Δb)2]1/2
色差儀Lab值怎么分析?
色差儀作為光電儀器,在檢測樣品顏色時,模擬的是人眼看色的過程,其常用的是CIE Lab色空間,CIELab色空間由照度(L)以及有關色彩的a和b這3個要素組成。
L軸以亮度表示黑白,其中,0為黑,100為白;
a軸正值為紅,負值為綠,0為中性;
b軸正值為黃,負值為藍,0為中性。
所有顏色均可以通過Lab色空間感知并測量。以上數據也可以用來表示標樣與測試樣的色差,并通常以△Eab(總色差)、△L、△a和△b表示,其中:
△L為正時表明測試樣較標準樣淺(偏白),△L為負時表明測試樣較標準樣深(偏黑);
△a為正時表明測試樣較標準樣紅(偏紅),△a為負時表明測試樣較標準樣綠(偏綠);
△b為正時表明測試樣較標準樣黃(偏黃),△b為負時表明測試樣較標準樣藍(偏藍);
△Eab(或△E)為總色差,表示色差偏移的方向,值越大,表明色差越大。
色差儀△E值的單位是什么?
1939年,美國國家標準局采納了賈德等的建議并推行Y1/2、a、b色差計算公式,且根據此公式計算顏色差別的大小,以絕對值1作為一個單位,稱為“NBS色差單位”。一個NBS色差單位大約相當于視覺色差識別閾值的5倍。與孟塞爾系統中相鄰兩級的色差值比較,則1個NBS單位約等于0.1孟塞爾明度值,0.15孟塞爾彩度值,2.5孟塞爾色相值(彩度為1);孟塞爾系統相鄰兩個色彩的差別約為10NBS單位。NBS的色差單位與人的色彩感覺差別用下表來描述,可知NBS色差單位在工業應用上是有價值的。后來開發的新色差公式,往往有意識的把單位調整到與NBS單位相接近,例如:ANLAB40、HunterLab以及CIELAB、CIELUV等色差公式的單位都與NBS單位大致相同(不是相等),并不是任何一個色差計算公式計算出的色差單位都是NBS。

鄭重聲明:本文版權歸原作者所有,轉載文章僅為傳播更多信息之目的,如作者信息標記有誤,請第一時間聯系我們修改或刪除,多謝。



