色差儀是依據色度學的標準研制的一種比色儀器,其內部配有多個CIE規定的用于定量描述顏色的色彩模型,即顏色空間。在不同的顏色空間下,色差值的表示方法是不同的。本文對色差儀不同顏色空間下的色差值的表示方法做了介紹,對此感興趣的朋友可以了解一下!

W*U*V*顏色空間及色差值表示方法:
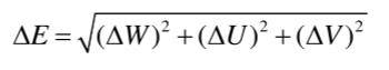
1964年,CIE提出了使用明度指數W*,色度指數V*和U*構建均勻顏色空間,在均勻顏色空間中,計算色差可以不再受相等亮度因數的限制。
明度指數W*可以表示為:

色度指數V*和U*分別可以表示為:

上式中:X0、Y0、Z0表示所使用標準照明體的三刺激值,X、Y、Z表示物體色的三刺激值。由于均勻顏色空間中,兩種顏色的色差由兩點之間的距離代替,如果假設兩種顏色之間明度指數W*,色度指數V*和U*的差值分別為△W,△U,△V,則顏色的色差(△E)可以表示為:

NBS(美國國家標準局縮寫)作為色差的單位,且色差為0.2NBS時,人眼就能覺察出顏色的差異,上式系列公式僅適用于視場小于4°的情況。
L*u*v*顏色空間及色差值表示方法:
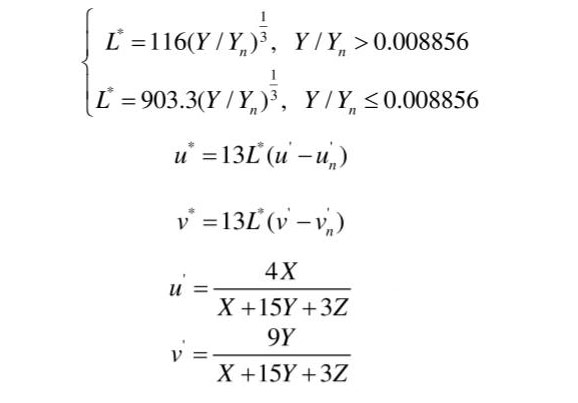
1975年,CIE提出了兩種新的顏色空間用于解算色差,即CIE1976(LAB)與CIE1976(LUV)顏色空間,該顏色空間能更好的反應人眼對于物體顏色的心理感受。在CIE1976L*u*v*均勻顏色空間中,以相互垂直L*、u*、v*三個軸來描述相應的亮度和色度量。可以表示為:

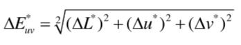
則色差:

上式中X、Y、Z是待測樣品CIE三刺激值,Yn是選定標準樣品的Y刺激值,u'n、v'n分別為選定標準樣品的u'、v'值,△E*uv為色差值,△L*、△u*、△v*分別為待測樣品與選定標準樣品的差值。
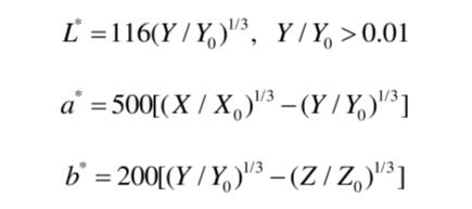
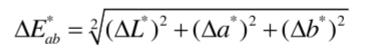
L*a*b*顏色空間及色差值表示方法:
在1976L*a*b*均勻顏色空間中,使用米制明度L*,米制色度a*和b*表示顏色空間中的坐標軸,三個參數表達式如下:

上式中,X0、Y0、Z0與X、Y、Z指代的意義與WUV顏色空間中色度指數計算公式中X0、Y0、Z0與X、Y、Z的指代的意義相同,L*表示顏色明亮程度。該系統的色差可以表示為:

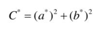
彩度C*(顏色的飽和度)可以表示為:

鄭重聲明:本文版權歸原作者所有,轉載文章僅為傳播更多信息之目的,如作者信息標記有誤,請第一時間聯系我們修改或刪除,多謝。



