為了便于顏色的測量與計算,CIE先后提出了多個用于顏色測量與計算的顏色空間,但由于這些顏色空間在描述顏色,與人眼之間的一致性存在較大的差異,于是CIE又推出了多個均勻顏色空間,常見的就有CIEL*a*b*和CIEL*u*v*。本文對色差儀均勻顏色空間的類型及色差公式作了介紹,感興趣的朋友可以了解一下!

什么是均勻顏色空間?
在評價顏色再現質量和顏色再現過程中,往往通過計算色差的大小加以控制。在計算色差的顏色空間里,各個不同顏色區域的數值變化必須與眼睛的視覺感覺一致,相同的數值變化對應相同的顏色差別感覺,滿足這個條件的顏色空間就稱為顏色感覺上的均勻顏色空間。反之,不滿足就為非均勻顏色空間。
在日常生活和工業生產中經常會遇到需要判別顏色的差別,簡稱為色差。由于在非均勻顏色空間中,相同的色差并不代表相同的顏色差別感覺,為了能使相同的色差代表相同的顏色差別感覺,需要尋找一個均勻顏色空間,在這個三維空間中,每個點代表一個顏色,空間中兩點之間的距離代表兩種顏色的色差,空間中相等的距離希望能代表相同的色差。
在廣泛討論和試驗基礎上,CIE于1976年正式推薦了兩個均勻顏色空間,即CIE1976L*a*b*均勻顏色空間和CIE1976L*u*v*均勻顏色空間。
色差儀均勻顏色空間介紹:
1.CIE1976L*a*b*均勻顏色空間
CIE在1976提出了CIE1976L*a*b*均勻顏色空間,它的三維坐標L*,a*,b*的表示分別為:

上述六式中,X,Y,Z 為顏色樣品的三刺激值;Xn,Yn,Zn 為指定的白色刺激的三刺激值,大多數情況下為CIE標準照明體照射在完全漫反射體上,再經過完全漫反射面反射至觀察者眼中的白色刺激的三刺激值,其中Yn=100。
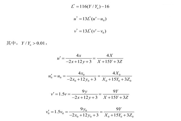
2.CIE1976L*u*v*均勻顏色空間
在CIE1976L*u*v*均勻顏色空間,它的三維坐標L*,u*,v*的表示分別為:

其中,u',v'為顏色樣品的色品坐標;u'0,v'0為指定的白色刺激的色品坐標;X,Y,Z為樣品的三刺激值;Xn,Yn,Zn為指定的白色刺激的三刺激值,大多數情況下為CIE標準照明體,照射在完全漫反射體上,反射到觀察者眼中的白色刺激的三刺激值,其中Yn=100。
色差儀均勻顏色空間色差公式:
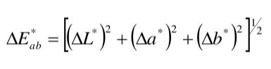
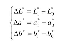
1.CIE1976L*a*b*色差公式
CIE1976L*a*b*色空間中求兩個顏色的色差公式為:

式中,△E*ab是兩個顏色的色差;△L*,△a*,△b*是兩個顏色相應量的差,由下式計算:

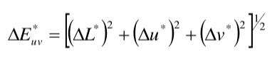
2.CIE1976L*u*v*色差公式
CIE1976L*u*v*色空間中求兩個顏色的色差公式為:

式中,△E*uv是兩個顏色的色差;△L*,△u*,△v*是兩個顏色相應量的差。由下式計算:

鄭重聲明:本文版權歸原作者所有,轉載文章僅為傳播更多信息之目的,如作者信息標記有誤,請第一時間聯系我們修改或刪除,多謝。



