色差儀是模擬人眼的視覺系統,利用儀器內部的模擬積分光學系統,把光譜光度數據的三刺激值進行積分而得到顏色的數學表達式,從而計算出明度指數L*和色品指數a*、b*值及對比度色的色差。那么,色差儀三刺激值XYZ與Lab值怎么轉換?

色差儀三刺激值XYZ值介紹:
由于CIE-RGB系統計算顏色三刺激值會出現負值的問題,即使用R、G、B三原色無法調制出所有的顏色,因此CIE在RGB三原色理論基礎上提出了新的三刺激值X、Y、Z,使用假象的三原色XYZ建立新的色度系統。在XYZ測色系統中,X原色相當于波長比700nm的光譜紅還要大的紅紫,Y原色相當于波長比520nm的光譜綠還要大的一種綠,Z原色相當于飽和度比477nm的光譜藍還要大的一種藍,XYZ顏色空間是在RGB顏色空間上提出的,可以由RGB顏色空間轉換得到。
X、Y、Z是自然界并不存在的三種原色,但使用這三種原色可以從理論上調配出所有的顏色。以三刺激值XYZ為分量的顏色空間稱之為XYZ顏色空間,其他顏色都可以從這三種顏色中導出,通過相加混色或者相減混色,任何色調都可以使用不同量的基色產生。該顏色空間在廣泛的實驗基礎上得到的平均人眼顏色響應,符合人眼對顏色觀測的視覺特點,是國際委員會定義的與設備無關的顏色表示法,因此通常作為國際性的顏色空間標準。對于無法直接轉換的兩個顏色空間,XYZ顏色空間通常可以作為橋梁,使兩種顏色空間能進行轉換。
色差儀Lab值介紹:
CIELab色度空間是國際照明委員會向世界各國推薦的通用的均勻顏色空間,是經CIEXYZ色度空間非線性變換而得到的。CIELab在三維色空間的各個坐標軸上均具有視覺和顏色心理感知的等距性,并且細分了明度坐標和色品坐標的級差。同時,CIELab空間中當顏色的色差大于視覺的識別閾值(恰可察覺)而又小于孟塞爾系統中相鄰兩級色差時,可以較好地反映物體色的心理感受效果。
CIELab顏色空間是色差儀最常用的一種顏色空間,是基于生理特征的均勻顏色空間,是由明度(L)和兩個色度分量a、b共三個分量構成,L表示顏色的明度,也常被稱作亮度,取值范圍在[0,100],表示從純黑到純白。a表示從綠色到紅色,-a最小表示綠色,+a最大表示紅色,取值范圍在[-128,127],-a到+a是綠色到紅色顏色漸變的過程。b表示從藍色到黃色的范圍,同樣原理,-b到+b是由藍色逐漸過渡到黃色的過程,取值范圍在[-128,127]。CIELab顏色空間是顏色量化最均勻的顏色分布,在樣品色差評比系統中,很多公式都是依賴該顏色空間的,它是顏色差異的規范化空間,能夠解決顏色量化的等距度量,其均勻性較好。該顏色空間兩點之間的幾何距離,與人眼觀察物體的色差大小相同。
色差儀三刺激值XYZ與Lab值轉換方法:
CIELab顏色空間直接基于CIEXYZ顏色空間建立,使用MacAdam橢圓描述顏色差異,并由此建立了線性化的人眼視覺對顏色的視覺感知空間,是一種比CIEXYZ顏色空間更線性、更直觀的顏色空間,也就是說顏色空間上相同數量的變化會產生大約相同視覺重要性的變化。
CIELab顏色空間是CIEXYZ標準色度學系統的非線性變換,它將XYZ直角坐標顏色空間轉換為柱面極坐標,將三刺激值XYZ轉換成與眼睛視覺相一致的明度L*和與色調、飽和度的感覺相一致的a*、b*。
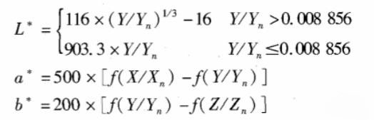
由CIEXYZ空間向L*a*b*顏色空間轉換的公式為:

其中,在上面的公式中,X、Y、Z指的是物體的三刺激值,這三個屬性值是在海明對立坐標理論的基礎上建立起來的。Xn、Yn、Zn表示的是CIE標準照明體先照射在完全反射漫反射體上,再經其反射到人們眼中的白顏色物體的三刺激值。光源和觀察者的條件分別以D65和10°條件為佳。在不同的光源以及觀察者條件下,三刺激值是不同的。若采用D65標準照明體Xn=94.811,Yn=100.00,Zn=107.304。
色差儀CIEYxy顏色空間介紹:
三刺激值XYZ對定義顏色非常有用,但卻不易直接目視其結果,為此CIE于1931年規定了Yxy色空間,它是在二維圖上描述顏色,但與亮度無關。Y為物體的反射比,用%數表示(與反射比為100%的理想漫反射相比較)。它對應于顏色三要素的明度其值就等于三刺激值的Y值。色度坐標x、y對應于色三要素的色調和彩度。x、y色度坐標可由下式算得:x=X/(X+Y+Z)y=Y/(X+Y+Z)
(其中X、Y、Z為三刺激值)X軸色度坐標相當于紅基色的比例;Y軸色度坐標相當于綠基色的比例,圖中沒有Z軸色度坐標(即藍基色所占的比例)。因為比例系數x+y+z=1,Z的坐標值可以推算出來,即z=1-x-y。
鄭重聲明:本文版權歸原作者所有,轉載文章僅為傳播更多信息之目的,如作者信息標記有誤,請第一時間聯系我們修改或刪除,多謝。



